MAT129 Fall 2025 Notes
mathnstuff.com/math/precalc/MAT129fa25/p.10.htm
© 2025   A2, Agnes Azzolino
Exponential and Logarithmic Functions. Text 6.1-6.4, PG. 464, 479, 491, 499

A Log Is An Exponent


 
Raise A Number to a Power, bx.
Rewrite a fraction as a decimal.
b =   x =
=

 
Take the log, base b, of N, logb(N)
b =   N =
=

Welcome to Precalc!

A Log Is An Exponent
Hi,
    This is really important stuff.
  • This is how growth and decay happen in the real world.
  • The computation looks messy, but it follows the rules of exponents learned in algebra.
  • To "raise to a power" and to "take a root" are inverse functions, one undoes the other.
  • In algebra, you learned y = mx, y = x + x + x + x, ..., + x, m times.
        This is called a linear function .
  • In precalc, you learn y = xm, y = x (x)(x)(x) ... (x), m times.
        This is called a power function.
  • Now in precalc, you learn y = mx, y = m(m)(m)(m) ... (m), x times.
        This is called an exponential function.
        The number e is most often the base that is used.
  • Learn the difference between compounding in different (discrete) time periods and compounding continuously.
    Contact me through the pink box on www.mathnstuff.com/math/math.htm
or with the phone number on your class CANVAS home page.
    Stay safe, A2
This Class Notes:	 log con-dots, exponent con-dots,  simplify con-dots, exponent laws,  blank 1 graph paper, blank 2 graph paper, 
Next Class Notes:	solve
6.1  - Exponential Functions, pg. 464,  Learning Objectives
	* Evaluate exponential functions.
	* Find the equation of an exponential function.
	* Use compound interest formulas.
	* Evaluate exponential functions with base e.
6.2  - Graphs of Exponential Functions, pg. 479,  Learning Objectives
	* Graph exponential functions.
	* Graph exponential functions using transformations.
6.3  - Logarithmic Functions, pg. 491,  Learning Objectives
	* Convert from logarithmic to exponential form.
	* Convert from exponential to logarithmic form.
	* Evaluate logarithms.
	* Use common logarithms.
	* Use natural logarithms.
6.4  - Graphs of Logarithmic Functions, pg. 499,  Learning Objectives
	* Identify the domain of a logarithmic function.
	* Graph logarithmic functions.

Log & Exponential Functions

This Class
6.1 Exponential Functions, pg. 464
6.2 Graphs of Exponential Functions, pg. 479
6.3 Logarithmic Functions, pg. 491
6.4 Graphs of Logarithmic Functions, pg. 499
Next class
    6.5, 6.6
6.5 Logarithmic Properties, pg. 516
6.6 Exponential and Logarithmic Equations, pg. 526
6.7 Growth and Decay Applications -- Exponential and Logarithmic Models, pg. 537
Notes
Vocabulary
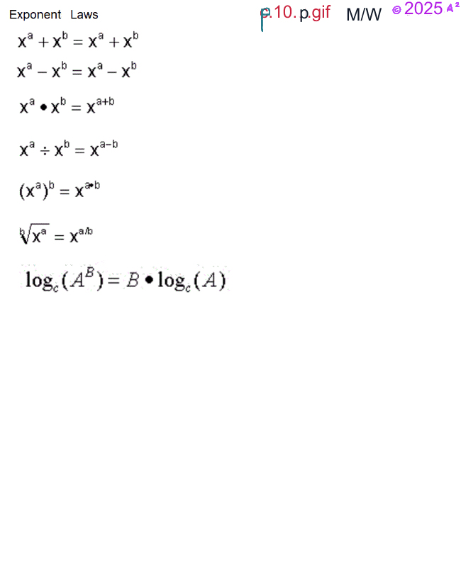
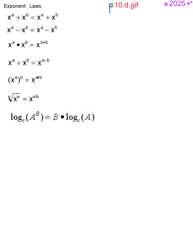
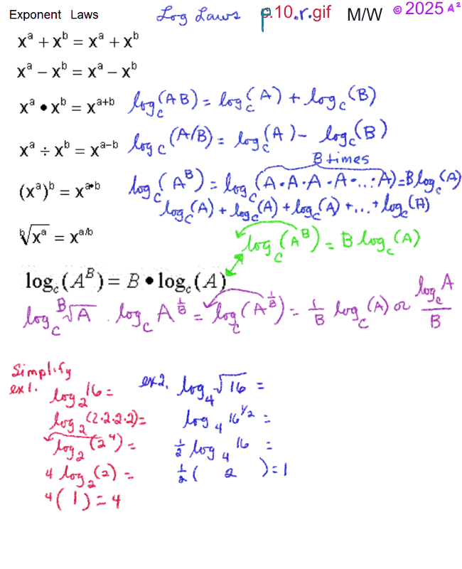
Exponent & Log Laws
Function Library
Exponential or Power Functions    
A Bit about e, the base of the Natural Logs    
Linear vs Exponential Growth
Compounding - Growing Discretely, WHY THE FORMULA P(t) = P0(1 + r/n)nt
Even More About e, the base of the Natural Logs    
Questions on exponents and logs:
      graphing exponentials
      Solving exponential equations
Exponential and Natural Log Are Inverse Functions
Logs without Feeling Out on A Limb Table of Contents Page
Log Graph Papers
Games:   Who Has? Exponential
PRINT THESE FILES FOR USE IN TODAY'S CLASS
Logarithm Connect-the-Dots pdf, or p.10.a.gif
Exponent Connect-the-Dots pdf, or p.10.c.gif
Expand or simplify the log pdf, or p.10.b.gif
connect the dot ANSWERS is p.10.h.gif
mathtokens.com home
Forms Web Pages -- Dynamic Computation
Function and Relation Library library

  Function and Relation Library

Use browser to return from these
Exponential or Power Functions
A Bit about e, the base of the Natural Logs    
Even More About e, the base of the Natural Logs    
The Exponential Function    
Linear vs Exponential Growth        
Parent Functions, Their Slope Functions, and Area Functions
spread sheet notes
Spread Sheets -- Dynamic Computation
  • exp.xlsx -- compound & continuous interest, logistic curve, Gaussian (Normal Statistical curve), ...
sketchpad
Sketch Pads -- Dynamic Analytic Geometry
    Transendentals, Exponentials, Logs
  • 2graphs.gsp  -- 2 graphed functions ready to edit
  • logs -- 1 - ln(x), e^x, y=x for inverse, 2 - 2 graphs, 3 - a(base)^(bx-c)+d, 4 -e by area under 1/x
  • Dere2x -- Derivative of the exponential
  • Derlnx -- Derivative of the Natural Log
  • e2xSums -- The Antiderivative of ex