[tutorials & resource material arranged by topic Class Table library
  Notes on Inverse Functions



Review

      You really do need to remember all the "inverse stuff."

    Facts about Inverse Functions:
  • f -1(f(x)) = f(f -1(x)) = x
        The inverse of the function equals the function of the inverse.
        The inverse and the function undo each other resulting in the original number.
     
  • A function takes a number, x for example, performs certain operations on it, like adding 5 or subtracting 3, or taking the opposite, for example, and leaves a result, y for example.
        The inverse undoes the operations of the function and results in the original number.
        If one knows the individual operations in the function, undoing each of these in order will result in the inverse. This is the verbal or definition (using words) or the algebraic (using symbols to solve an equation) method of taking the inverse. If one knows only the knows a bunch of inputs and results of the function, if one only knows a bunch of x's and y's, if one has a bunch or ordered pairs or points (x,y), then finding the inverse graphically is possible.
        To take an inverse graphically, exchange the x and the y in each order pair of the function.
     
  • Only 1-to-1 functions have inverses.
        With a function, each x has a unique, only 1, y value. Two different x values may have the same y value, but, each x has only one, not two or more y values.   It passes the vertical line test.
        A function is 1-to-1 if each y has a unique x that generated it.   It passes the horizontal line test.
     
  • By restricting the domain of a function, it is sometimes possible to find an inverse for a function which "does not have an inverse" because it is not 1-to-1.
        This domain restriction is used only when it is really important to be able to undo a function.
        It is useful to be able to undo squaring a number, x2.
        It is useful to be able to undo taking the sine of a number, sin(x); the cosine of a number, cos(x); the tangent of a number, tan(x). For each of these functions the domain is restricted so an inverse function is defineable.
 
What It Means To Take An Inverse
Taking An Inverse Verbally

      The inverse and the function undo each other.

      To understand this, consider the result of operating with the function. Consider what the function does.

      Read down the green box to examine what the function does.

      Read up the blue box to examine what the inverse does.

      Read left to right, green to blue to identify each inverse operation needed to achieve the final inverse function.
 
The function does this .
 
x
It takes a number,
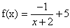
x+2
adds two,
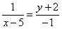
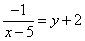
1/(x+2)
takes the reciprocal,
-1/(x+2)
takes the opposite,
-1/(x+2) + 5  
adds five,
produces a result.
The inverse does this .
 
produces a result.

subtracts two,
-1/(x-5)-2
takes the reciprocal,
-1/(x-5)
takes the opposite,
- (x-5)
subtracts five,
x-5
It takes a number,
 
x
 

    To take an inverse verbally or by definition complete the above process.
    Inverses for each of the following are linked through a page listed below where it says, "Take the inverse of 4 different functions."
1.) f(x) = (x - 6) + 2
2.) f(x) = 3x + 4
3.) y = 1/(x + 5) - 2
4.)
 
Algebraically
Take the inverse algebraically:
 
1st: (Optional) Use the symbol y in place of f(x).
2nd: Exchange the x for y and the y for x and solve for y.
    This means:   take the function, recognize each operation which it includes, in the order in which it was performed, and, undo each operation to create a new function, the inverse.
Subtract 5 from each side.
Write each side as a fraction.
Take the reciprocal of each side.
Simplify.
Make the coefficient of y equal to 1.
Isolate y.
3rd: Rewrite using f-1(x) instead of y.
4th: Use the old domain as the new range,
because x and y have been exchanged.
      x is not -2 y is not -2
5th: Use the old range as the new domain.
      y is not 5 x is not 5
      This may be very important since many functions are not 1-to-1, invertable. If an inverse is REALLY needed, the domain must be restricted or unique inverses are not possible.
6th: Restate the inverse with these parts (if needed):
      · f-1(x) =
      · the inverse
      · the restriction on the domain.
The inverse is
(no domain restriction is necessary)
 
 
    Again, one might complete the problems above and check the answers below where it says, "Take the inverse of 4 different functions."
 
Graphically
 
    To take the inverse graphically, exchange the x for the y and exchange the y for x -- use the input as result and result as input.
    See operations which comprise the original function and its inverse by noteing the changes made to the basic graph of the function -- translating, reflecting, dilating.
    (Click on the image/graph to open a page with a graph you can work on. )
1st: Graph the function.
    Identify points on the function so you have specific x & y values, specific ordered pairs (x,y).
    For example: (-6,5.25), (-4,5.5), (-2,undefined ), (0,4.5), (2,4.75), asymptote y = 5.
 
2nd: Exchange the x for y and the y for x and plot the new points and asymptotes.
    For example:
(-6,5.25) (5.25, -6)
(-4,5.5) (5.5, -4)
(-2,undefined ) the asymptote y = -2
(0,4.5) (4.5, 0)
(2,4.75) (4.75, 2)
asymptote y = 5 asymptote x = 5
 
3rd: Sketch in the line y = x.
    Use y=x as a mirror to reflect the function and draw in the curve of the inverse.
 
4th: For each point (x,y) on the original function, plot the point (y,x) on the inverse.
    You may wish to tilt the paper so that the line y=x is centered and the function is on the left. Sketch the inverse on the right as you think "mirror image."
 
5th: You must now write an expression for the graph
      you've drawn.
      Use a basic function such as f(x) = x2 or f(x) = x.
      Use curve shifting coding such as f(x) = f(x - h) + k
      to "place" the function h to the right or left and
      to "place" the function k up or down.
 
6th: Use the old domain as the new range,
      since x and y have been exchanged.
 
7th: Use the old range as the new domain.
 
8th: Restate the inverse including restrictions as needed.
(no restrictions)
 
 
    One might complete the problems above and check the answers below where it says, "Take the inverse of 4 different functions."
 
Inverse Trig Functions
      In trig, arc functions are inverses of functions. The arcsine, arcsin(x), may be thought of as "the angle whose sine is x." This is not a definition, just a useful expression for an idea. The sine function and arcsine functions exist independent of angles, but angles may be thought of as a means of completeing compution or gaining understanding.

      Since the trig functions are periodic they are not 1-to-1 and to have an inverse, the domain of each must be restricted.

      The restriction on the domain of the original function was selected so that the arcfunction returned unique values for each domain value and provided for negatives and positives.

 
Additional Notes
    Examples & other notes
  • log, exponential function's reciprocal & inverse
  • Take the inverse of 4 different functions
  • Take an inverse function using words or order of operations, graphically, or symbolically
  • algebraically & graphically taking an inverse
  • Take an inverse in Each of the Math Class Language Families
 
[MC,i. Home] [Table] [Words] Classes [this semester's schedule w/links] [Good Stuff -- free & valuable resources] library
© 2009, Agnes Azzolino
www.mathnstuff.com/math/spoken/here/2class/300/invfn.htm