[tutorials & resource material arranged by topic Class Table library

Problems & Answers on Finding Inverses Verbally, Graphically, Algebraically

www.mathnstuff.com/math/spoken/here/2class/300/invfp.htm     © 2005, 2019 Agnes Azzolino

See:  pdf of problems, Notes on Inverse Functions. On this page, click on graphics to see answers.

List domain and range. Determine the inverse "verbally," graphically, & algebraically, if one exists.

1. f(x) = sqrt(x - 6) + 2
domain: x > 6
range: y > 2
inverse: f -1(x) =
















2. f(x) = 3x + 4
domain: all real numbers
range: all real numbers
inverse: f -1(x) =
















3. y = 1/(x + 5) - 2
domain: x is not -5
range: y is not -2
inverse: f -1(x) =
















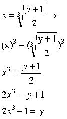
4. Find inverse algebraically.