Rational Function Definition & Notation -
- Precalc definition:
- an algebraic
expression or
function,
produced by the DIVISION of polynomials, with the use of one
variable x -- fraction expressions or fraction functions
-
- anxn + an-1xn-1 + an-2xn-2 +
... +a2x2 + a1x1 + a0x0
- __________________________________________
- bnxn + bn-1xn-1 + bn-2xn-2 +
... +b2x2 + b1x1 + b0x0
-
- in which the
constants
an, an-1, an-2, ... , a2, a1, a0,
bn, bn-1, bn-2, ... , b2, b1, b0 are
real,
- and serve as
coefficients or the constant term,
- and in which all
exponent of x are
counting numbers.
|
Rational Functions
- To provide a
list of things to do when sketching a rational function,
- To provide two
examples of sketching rational functions,
- To give you a
problems to try and their solution, and
-
Features of a Rational Function
-
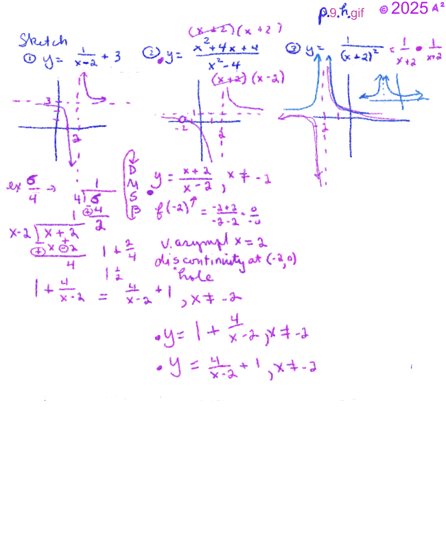
Sketch f(x) = [ (x2 - 4)(x + 3)] / [(x+2)(x-1)] animation
-
Synthetic division & long division notes
to find zeros
to rewrite a rational function to find horizontal and other asymptotes and
to determine the end behavior.
-
ratl.xls
- Graph and table of (Axm)/(Bxn)
Watch the power of the top or bottom equal or dominate the other.
Examine hoirzontal asymptotes or infinite increase or decrease.
Think endbehavior and explore.
- Graph and table of rational function, polynomial A(x) divided by B(x).
Examine asymptotes.
Examine the role of factors A(x) and 1/B(x).
- Graph and table of rational functions written as A(x) / B(x) + C(x)
Really play with C(x), the asymptote
- Complete synthetic division and rewrite of quotient and remainder.
-
recipfx.gsp -- graph of parameter-defined reciprocal function,
* with slide-able tangent line,
* VERTICAL ASYMPTOTE MUST BE POSITIONED BY USER! -
asymptote definition
-
end behavior -- definition increasing/decreasing
-
Who Has? Rat'l F(x) Game
|
- COMPOSITION --
Composition of Functions
-
polynomial, rational functions pdf
-
compositeFX.gsp -- build 2 functions using other functions
-
compositeFx.poly.ratl.gsp -- build functions using other functions
- 0 - graph of 1 function
- 1 - graphs of 2 functions
- 2 - composite of 4 functions
- 3 - polynomial. links to polynomial, dilations gif, quatratic.htm, equation, discriminant
- 4 - rational, rational function features & how to find them
- 5 - end behavior, battle of (Ax^m)/(Bx^n)
Spread Sheets -- Dynamic Computation
- polynomial spreadsheet --
graph a polynomial function written in factored form complete synthetic division

- synthetic division spreadsheet -- just complete synthetic division of a polynomial or of a quadratic by a linear binomial

- rational function spread sheet
Graph and table of (Axm)/(Bxn)
Watch the power of the top or bottom equal or dominate the other.
Examine hoirzontal asymptotes or infinite increase or decrease.
Think endbehavior and explore.
Graph and table of rational function, polynomial A(x) divided by B(x).
Examine asymptotes.
Examine the role of factors A(x) and 1/B(x).
Graph and table of rational functions written as A(x) / B(x) + C(x)
Really play with C(x), the asymptote
Complete synthetic division and rewrite of quotient and remainder.
| |
| |