Classes Class Table library

Introduction to Algebra
Day 1, 2



Contents
  • Letter from Prof
  • Order of Operations
  • Homework
  • Warm Up Exercises
  • Order of Operations
  • Answers
  • Meaning of Fraction
  • Division Symbols
  • Division by Zero


Day 1
Letter from Prof


Day 1
THE ORDER OF OPERATIONS

    Restated it's: Functions, Parentheses first, next Roots or Exponents, then Multiply or Divide (left to right) then Add or Subtract (left to right): Finally Please, Readily Excuse, My Dear Aunt Sally.



Day 1 - Homework
Simplify.
1. 3 + 4 x 5
2. 4 + 3(2 + 1)


Day 2 - Warm Up Exercises & Review
Simplify.
1. 4 + 2(3 + 52)
2. (41 + 51) ÷ 3
3. 0 ÷ 4
4. 4 ÷ 0
5. 2 ÷ 4
6. List the order of operations


Day 2- Order of Operations
THE ORDER OF OPERATIONS (Topmost First)
  • Functions
  • Parentheses or other Marks of Inclusion
    - brackets, parenthises, brackets, bar
    (Innermost First)
  • Roots or Exponents
  • Multiplication or Division (Leftmost First)
  • Addition or Subtraction (Leftmost First)


Day 2- Answers to Warm Up

RECOPY WHATEVER YOU DON’T SIMPLIFY

Simplify.


Day 2- What's A Fraction
FRACTION, Read So, What's A Fraction?
3 NUMERator
--- division sign
4 deNOMINATEr
  
3 number er - # of pieces
--- division sign
4 namer - how many equal pieces in 1 whole


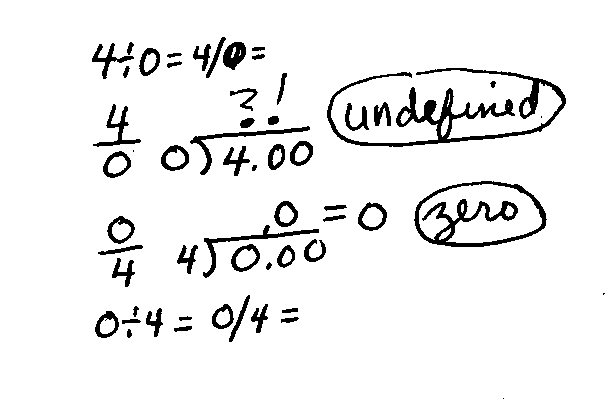
Day 2- Division Symbols & Division by Zero
4 ÷ 0 in Division Symbols
4 ÷ 0
4 / 0
 
4 you have 4 pieces
--
0 makes no sense, no equal pieces
4 ÷ 0 is undefined.


0 ÷ 4 in Division Symbols
0 ÷ 4
0 / 4
 
0 zero pieces
--
4 4 equal pieces in a whole
0 ÷ 4 = 0


Day 2- From & For Homework.
Old homework.
Simplify.
1. 3 + 4 x 5         2. 4 + 3(2 + 1)
    3 + 20                     4 + 3(3)
    23                             4 + 9
                                      13
 
3. New homework, from page 80/c80k.htm
Simplify.
a. 20 - 4 • 3 - 2
b. 20 - (4 • 3 - 2)
c. (20 - 4) • ( 3 - 2)
5. 4 + 5 •[ 4 + 8 ÷ 2 ÷ 2]
On the web, check answers/work to new homework.



[MC,i. Home] [Table] [Words] Classes [this semester's schedule w/links] [Good Stuff -- free & valuable resources] [next] [last]
© 2005, Agnes Azzolino
www.mathnstuff.com/math/spoken/here/2class/80/text/day1n2.htm