[tutorials & resource material arranged by topic

  Precalc Support Problems


Other resources
Precalc Notes
Trig Stuff - TAN GENTS AND OTHER THINGS OF INTEREST
More Trig Equations to Solve
Log Laws Easily Printed Version
 
Topics on This Page
Basic Triangle Vocabulary
Pythagorean Theorem
Expand, multiply binomials
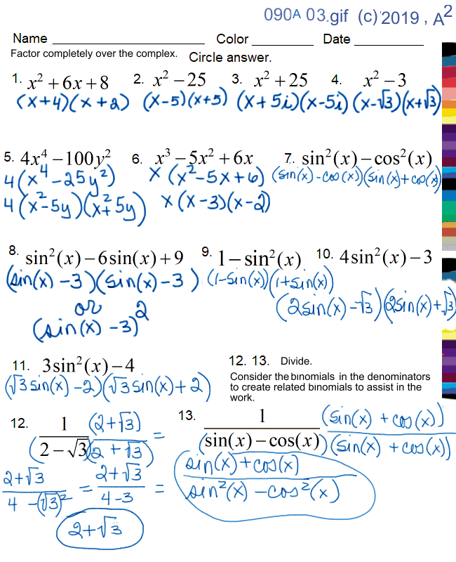
Factor
Use quadratic equation
Add fractions
Divide fraction w/binomial in denominator
Review circles, similar, proportional locabulary
Solve equations

Topics
Basic Triangle Vocabulary
      For discussion of right and all triangles
      For Sine and Cosine Laws
sides&angles adjacentopposite
Review circles, similar, proportional locabulary.
      As in sine, cosine, secant, tangent
      As in 3-4-5 triangle makes 6-8-x triangle easy to solve
      Notes, other related notes
      Remind me. Why Is It Legal to Cross Multiply?
      questions answers pdf of questions.
 
Expand, multiply binomials.
      To solve equation involving a radical or two.
      To solve exponential equation.
      To complete a trig division as in 1/(sin(x) - 1).
      questions answers pdf of questions.
 
Factor.
      Before solving quadratic.
      Before simplifying trig expressions.
      Before solving trig equations.
      Before solving log equations.
Divide fraction w/binomial in denominator.
      As in complex conjugate as reminder for trig fractions.
      As in rewrite trig fraction as in 1/(1- sin(x))
      questions answers pdf of questions.
 



[MC,i. Home] [Words] Classes [this semester's schedule w/links] [Good Stuff -- free & valuable resources]
© 2019, Agnes Azzolino
www.mathnstuff.com/math/spoken/here/2class/090/c09pg00.htm