IN MATH: 1. n. the equation
which states the roots of the quadratic equation
.
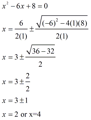
By substituting a particular equation's values of a, b, and c, the roots may be computed. EX.
Solve
using the quadratic formula.
Though normally just used to assist in finding the roots, the -b/(2a) part of the quadratic equation may also be used to find the axis of symmetry.


|
IN ENGLISH: 1. as defined above.
APPLICATION: See list 320.
5. Research DISCRIMINANT. Comment on this part of the quadratic formula. Discuss its effects on a solution.
This is a page from the dictionary MATH SPOKEN HERE!, published in 1995 by MATHEMATICAL CONCEPTS, inc., ISBN: 0-9623593-5-1. You are hereby granted permission to make ONE printed copy of this page and its picture(s) for your PERSONAL and not-for-profit use.
|
www.mathnstuff.com/math/spoken/here/1words/q/q4.htm |