MAT129 Fall 2025 Notes
mathnstuff.com/math/precalc/MAT129fa25/p.6.htm
© 2025   A2, Agnes Azzolino
Combinations of functions; Inverse functions. Text 3.4,3.7, PG. 209, 254

Welcome to Precalc!

A New Symbol and Use
Hi,
   
    You already know some symbols, today you will learn the inverse and composite function.
    I calc I, you will learn the derivative and antiderivative symbols.:
  • x -- a number, a variable a domain value
  • f(x) -- a function of x -- the range values
  • - x -- the opposite of x, its or additive inverse
  • 1/x, or x-1 -- the reciprocal of x, its multiplicative inverse
  • f(g(x)) -- a function of a function, a composite function
  • f-1 - the inverse, the of function f(x) -- the function, if it exists,
    that "undoes" f(x)
  • dy/dx, or f'(x), or f(1) -- the derivative - the instantaneous
    rate of change of f(x), its slope function
  • f(-1), or F(x) - the antiderivative - cumulative function
    You know the blue symbols/material.
    We do the red symbols/material today.
    Forget the green material/symbols until next semester.
    If needed, contact me through the pink box on www.mathnstuff.com/math/math.htm
or with the phone number on your class CANVAS home page.
    Stay safe, A2
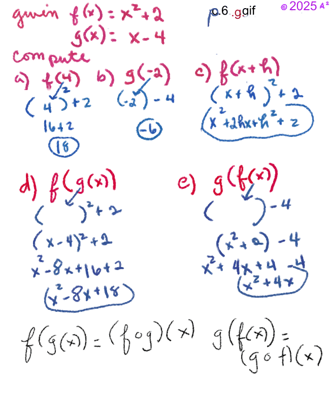
3.4 -Composition of Functions, pg. 209,  Learning Objectives
	* Combine functions using algebraic operations.
	* Create a new function by composition of functions.
	* Evaluate composite functions.
	* Find the domain of a composite function.
	* Decompose a composite function into its component functions.
3.5 -Transformation of Functions, pg. 222,  Learning Objectives
	* Graph functions using vertical and horizontal shifts.
	* Graph functions using reflections about the x-axis and the y-axis.
	* Determine whether a function is even, odd, or neither from its graph.
	* Graph functions using comp
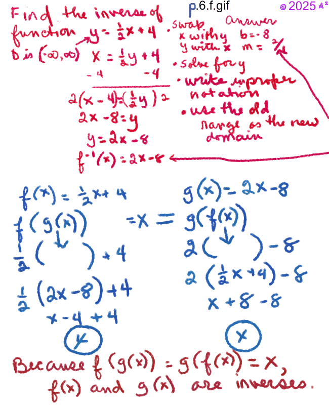
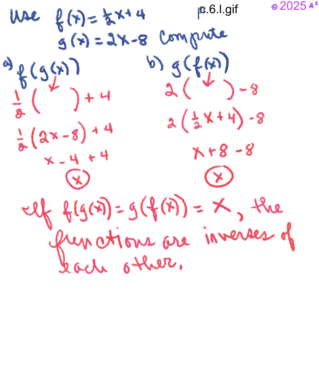
3.7 -  Inverse Functions, pg. 254,  Learning Objectives
	* Verify inverse functions.
	* Determine the domain and range of an inverse function, and restrict the domain of a function to make it one-to-one.
	* Find or evaluate the inverse of a function.
	* Use the graph of a one-to-one function to graph its inverse function on the same axes.
3.7 Inverse Functions