[tutorials & resource material arranged by topic Class Table

MIDDLE GROUND - Binomial Distribution Examples


I.   Brief Summary of A Binomial Distribution
0.   Basic Probability and Counting Formulas
      Vocabulary, Facts, Count the Ways to Make An Ordered List Or A Group
      The average is the sum of the products of the event and the probability of the event.
II.   Binomial Distribution Explained More Slowly
III. Binomial Formula Explained
      Combinations Compute The Number of Each Outcome in A Binomial Distribution
      What's the Probability of Obtaining Exactly 3 Heads If A Fair Coin Is Tossed 4 Times?
      Applications
IV. Sum of the Probabilities and the Binomial Mean
      The Sum of The Probabilities Is One.
      The Expected Value Is The Mean.
      The Mean, Expected Value, Is (n)(p).
      Why the mean, expected value, is (n)(p)
V.   Examples
VI. Use the Normal to Compute the Binomial on a Calculator
 
Binomial Distribution Problems
 
     
1. State the probability of 0, 1, or 2 successes on 6 independent trials where the probability of success is .3.
 
2. The probability of producing a perfect drill is .95. If 5 drills are chosen at random, what's the probability that:
a. exactly 3 are perfect?
b. exactly 4 are perfect?
c. 3 or more are perfect?
 
3a. Suppose 4 students each have about an 80% average in the course so far. Assume this means the probability of maintaining or improving their average is .8. What's the probability that all 4 will maintain or improve their average?
 
3b. Suppose 4 students each have about an 90% average in the course so far. Assume this means the probability of maintaining or improving their average is .9. What's the probability that all 4 will maintain or improve their average?
 
3c. Suppose 4 students each have about an 95% average in the course so far. Assume this means the probability of maintaining or improving their average is .95. What's the probability that all 4 will maintain or improve their average?
 
3d. Suppose 4 students each have about an 60% average in the course so far. Assume this means the probability of maintaining or improving their average is .6. What's the probability that all 4 will maintain or improve their average?
 
4. A unfairly weighted coin is flipped 9 times. If the probability of obtaining a tail when the coin is flipped is only .2, state the probability of obtaining exactly 3 tails.
 
5. What's the probability of getting fewer than 3 tails on 9 trials with p(tail)=.2?
 Using the table from problem 4.
 
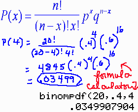
6. Given a binomial distribution where n=20, p=.4, state p(x=4).
 
7. Suppose 14 students each have a .6 probability of passing statistics. What's the probability that 3 or more will pass?
 
 

[MC,i. Home] [Table] [Words] Classes [this semester's schedule w/links] [Good Stuff -- free & valuable resources] [next] [last]
© 2010, Agnes Azzolino
www.mathnstuff.com/math/spoken/here/2class/90/binom5.htm