cheat page

Simplify, Evaluate, Math Syntax, Order of Operations

   
Table of Contents
  • quiz
  • quiz answers
  • Basic / Arithmetic
  • Algebra I
  • Algebra II
  • Freshman Math I
  • Freshman Math II
  • Statistics I
  • Statistics II
  • Precalc
  • Calc I
  • Calc II
  • Calc III
Click on problem to see solution.


Basic
1.
2.
3.
4.
5.
6.
7.
8.
9.
10.
11.
12.
13.
14.
15.
16.
17.
18.


Algebra I
1.
2.
3.
4.
5.
6.
7.
8.
9.
10.
11.
12.
13.
14.
15.


Algebra II
1.
2.
3.
4.
5.
6.


Freshman Math I
1.
2.
3.
4.


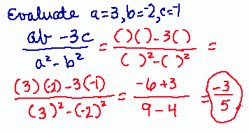
Freshman Math II
1.
2.
3.
4.
5.
6.
7.


<
Statistics I
1.
2.
3.
4.


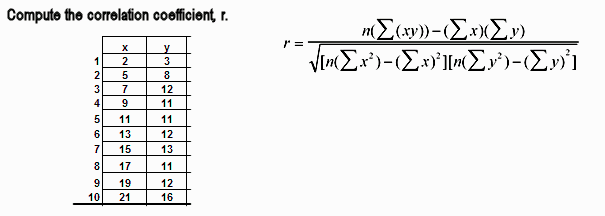
Statistics II
1.
2.
5.
4.


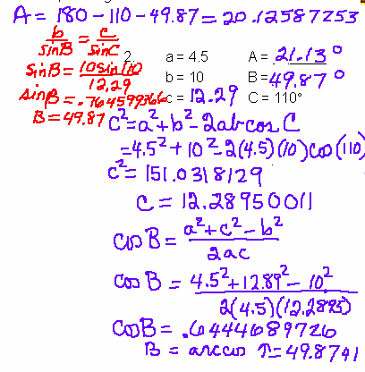
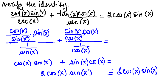
Precalc
1.
2.
3.
4.
5.
6.
7.
8.
9.
10.
11.
12.


Calc I
1.
2.
3.


Calc II
1.
2.
3.


Calc III
1.
2.
3.




[master list of all MSH! dictionary words] [tutorials & resource material arranged by topic [Good Stuff -- free & valuable resources] [MC,i. Home, site home page] spread sheet notes spread sheet notes math games toc
www.mathnstuff.com/math/spoken/here/2class/80/calcooo/ooo000.htm
  © 2012, A. Azzolino