2/24
- I. Homework from students:
- pg 145, # 1- 4, 31, 39
- pg 147 #35, 39, 49, 57, 61, 64
- II. In notes, sketch, state domain and range.
- 1. f(x) = sqrt(x - 6) + 2
- 2. f(x) = 3x + 4
- 3. y = 1/(x + 5) - 2
- answers
- Note:
asymptote ARE DRAWN on a
sketch when needed.
- III.
inverse
- f -1(f(x)) = f(f -1(x)) = x
- The inverse of the function equals the function of the inverse.
- The inverse and the function undo each other resulting
-     in the original number.
- IV. Calculator Problem: The vertical
asymptote is
- graphed as a part of a function even though it should not be.
-     Solution: In MODE or FORMAT select DOTS rather than CONNECTED.
2/29
- I. Solve for y.
- 1.) x = y/4
- 2.) x = y + 6
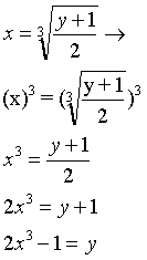
- 3.)
 - Answers
-  
- II. Comment on odd and even functions:
- Check out the mouth.
- III. Inverse Functions
-     Before reviewing the material below, look at the
notes and answers from last class.
-     If you click on the graph, the inverse is displayed.
- IV. Determine the inverse of each function if one exists.
- 1. f(x) = sqrt(x - 6) + 2
- 2. f(x) = 3x + 4
- 3. y = 1/(x + 5) - 2
|