MAT131 Fall 2025 Notes
mathnstuff.com/math/calc/MAT131fa25/c.6.htm
© 9/24/2025, A2, Agnes Azzolino
Instantaneous Rates of Change and Interpretations of the Derivative (2.1-2.2, pg. 59 )
calc.fa25

Welcome to Calc I!

Today you use math you have been studying since algebra I.
Hi,
    This stuff is REALLY important.
    The typical US math curriculum has been presenting work to you
so you would be able to comprehend and master the idea that "A derivative is the
instantaneous rate of change of the difference quotient, the slope, of a function. "
    1st: In the fist sequence of figures below, examine closely from
left to right the use of slope.
    2nd: That mastered, attack the list of other resources listed next.
    3rd: That completed, read the text and do the odd problems.
    If needed, contact me through the pink box on
        www.mathnstuff.com/math/math.htm
    Stay safe, A2
>/td>

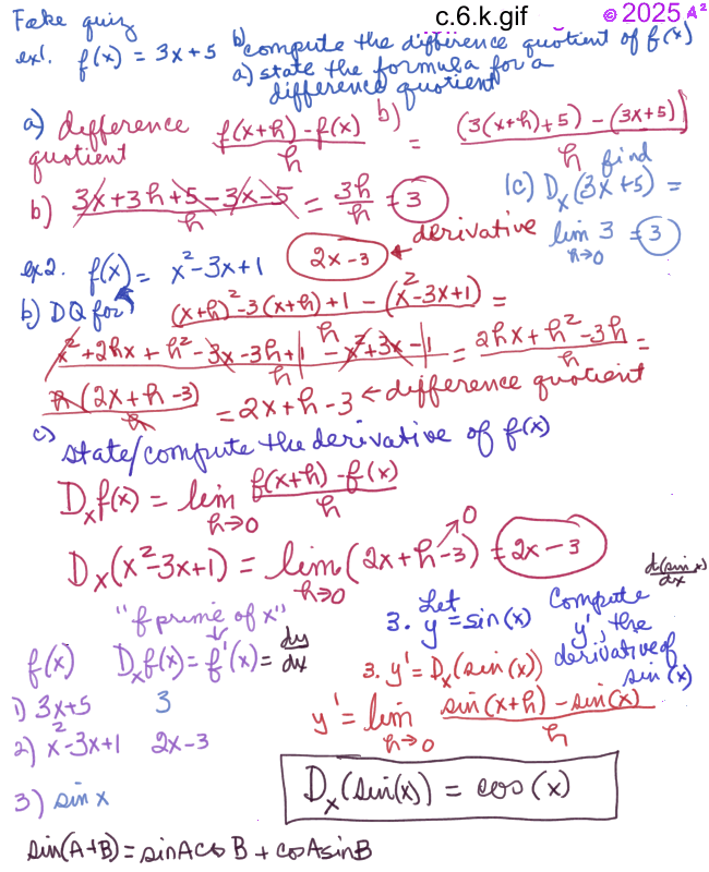
Some Algebraic Examples Using a Difference Quotient to Take a Derivative


        Derivative Proofs    
        d(ex)/dx= ex      
        d( sin(x) )/dx = cos(x)  
        d(polynomial)/dx examples  
        more examples