MAT131 Fall 2025 Notes
mathnstuff.com/math/calc/MAT131fa25/c.7.htm
© 9/24/2025, A2, Agnes Azzolino
Basic Differentiation Rules (2.3, pg. 82)
calc.fa25

Welcome to Calc I!

Today You Learn the Detivative "Times Tables"
Hi,
    Because you are in this class I believe you learned your times tables in the 2nd through 4th grades
and found work with fractions and then factoring easy.  
    Those students who did not, often found fractions and factoring more challenging,
used a calculator, and stopped taking math courses.
    Today is is your task to learn basic derivatives like times tables -- by memory,
without use of cheat sheets and calculators or web pages, so that you can mentally do more
challenging, complicated, derivatives which follow.   Yes, calculators and cheat sheets
are still available to you but see if you can ween yourself of their use.
    Happy studying.
    If needed, contact me through the pink box on www.mathnstuff.com/math/math.htm
    Stay safe, A2
Print:
To Be Printed:
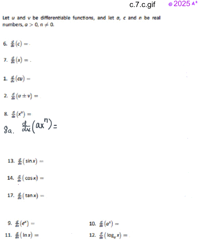
1. (Section 2.3) Statement of Basic Derivative BLANK for taking notes
2. (Section 2.3) Statements of Basic Derivative and Antiderivatives, CHEAT SHEET for use all semester & life
3. (Section 2.1-2.5) Derivatives Connect-the-dots for quick/short computations practice