MAT131 Fall 2025 Notes
mathnstuff.com/math/calc/MAT131fa25/c.1.htm
© 9/4/2025, A2, Agnes Azzolino
An Introduction to Limits (1.1)

Welcome to Calc I!

Fractions, Limits
Hi,
    First we review or learn anew
"The arithmetic you need to "compute a limit" and
"Limits -- some calculus arithmetic."
    If you are ready to begin class but class has not begun,
complete the fake quiz shown below then read indeterminant
on page "So, What's A Fraction? & Zero(s) In Fractions".
    Contact me through the pink box on www.mathnstuff.com/math/math.htm if you need me.
 
    Stay safe, A2

9/2, 9/3, 9/4: Text: An Introduction to Limits (1.1) pg. 1, & Finding Limits Analytically (1.3) pg. 18
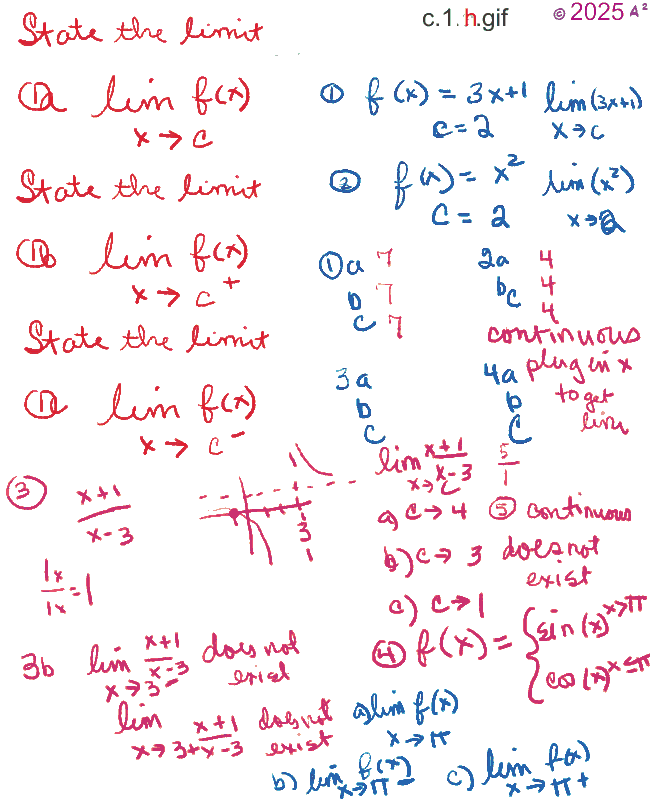
1. DO NOW: Print and complete the quiz at the left: today's fake quiz
2. Print Handout # 1, Limits connect-the-dots
3. Visit if needed: Cource Resources, Cheat Sheets, & Calculators
4. Visit if needed: Introduction to the Course -- Logistics
5. Needed for Friday's Quiz:   Letters & Qz1

 
Take a Limit:
analytically,
numerically,
algebraically