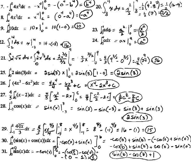
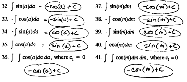
Casa Omar, Antiderivative Connect-the-Dots

 
 
[MC,i. Home] [Good Stuff] [Order form]
[MSH! Home] [Applications] Classes [Words] [Table]
[Essays] [top] [end] [next] [last]
© A2, March 25, 2003
www.mathnstuff.com/papers/condots/omara.htm