Class Table

Fractions

Contents of Page
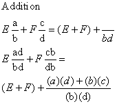
Addition of Fractions
Subtraction of Fractions
Multiplication of Fractions
Division of Fractions
Exponentiation of Fractions (Raising to a Power)
Extraction of Fractions (Taking Roots)
Change A Fraction to A Decimal
Change A Percent to A Decimal or Decimal to Percent
Change A Decimal to A Percent
Change a Decimal to A Fraction
Click on blue-bordered graphic to see just the picture.




Addition of Fractions

With Same Denominators --- add tops, keep bottom
1st: Create a new fraction with using the bottom number (denominator).
2nd: Add the tops (numerators) and write it in the new fraction.
3rd: Reduce the new fraction.
4th: (Optional) Write as a mixed number if possible.
With Different Denominators
1st: Write an equivalent fraction for each fraction to be added.
2nd: Completes steps 1 - 4 above.
ALTERNATE METHOD FOR TWO FRACTION ADDITION
    Multiply and add as in: A/B + C/D = (AD + BC)/(AD)
1st: Create a new fraction by multiplying the bottom numbers (denominators).
2nd: Multiply the top of the first with the bottom of the second fraction.
3rd: Multiply the bottom of the first with the top of the second fraction.
4th: Add the products from steps 2 and 3 and place it in the top of the new fraction.
5th: Reduce if possible.
6th: (Optional) Write as a mixed number if possible.
With Mixed Numbers
1st: Create a new fraction with using the bottom number (denominator).
2nd: Add the whole number parts and put it with the new fractions.
3rd: Add the tops (numerators) and write this sum in the new fraction.
4th: Reduce the new fraction.
5th: If the new fraction is an improper fraction, write the new fraction as a mixed number.
6th: Reduce the changed new fraction, if possible.
7th: Add the whole number from step 2 and the whole number part from step 6.



Subtraction of Fractions

With Same Denominators -- subtract tops, keep bottom
1st: Copy the bottom (denominator) in a new fraction.
2nd: Subtract the tops (numerators) and write it the new fraction.
3rd: Reduce the new fraction.
4th: (Optional) Write as a mixed number if possible.
With Different Denominators
1st: Write an equivalent fraction for each fraction to be added.
2nd: Completes steps 1 - 4 above.
With Mixed Numbers
1st: Write equivalent fractions if needed.
2nd: Create a new fraction using the bottom number (denominator).
3rd: Subtract the tops (numerators) and write the difference in the top of the new fraction, UNLESS BORROWING IS NEEDED.
4th: Subtract whole numbers.
5th: Reduce the new fraction.
With Mixed Numbers Where Borrowing Is Required
1st: Write equivalent fractions if needed.
2nd: Borrow 1 from the whole number part of the first mixed number and rewrite the fraction part of the first mixed number using the instructions below.
3rd: Copy the denominator and put it in the denominator of the first mixed number.
4th: Add (top and bottom) the numerator and the denominator of the fraction part of the first mixed number and use this as top of the fraction part of the first mixed number. This creates a usable improper fraction equal to the borrowed 1 plus the original fraction.
5th Create a new mixed number using the bottom number (denominator) in the new fraction part of the mixed number.
6th: Subtract the tops (numerators) of the fraction parts of the mixed numbers and write the difference in the top of the new fraction.
7th: Subtract whole numbers.
8th: Reduce the new fraction.




Multiplication of Fractions

In General
- Multiply across the top. Multiply across the bottom. Reduce.
With Many Fractions
1st: Reduce each fraction.
2nd: Cancel ANYWHERE IN A TOP OF A FRACTIONS WITH ANYWHERE IN THE BOTTOMS OF A FRACTION.
3rd: Create a new fraction.
4th: Multiply the tops (numerators) and place the product in the top of the new fraction.
5th: Multiply the bottoms (denominators) and place the product in the bottom of the new fraction.
6th: Reduce the new fraction.
7th: (Optional) Write as a mixed number if possible.
8th: Reduce the new fraction.
With Mixed Numbers
1st: Rewrite each mixed number as an improper fraction.
2nd: Cancel ANYWHERE IN A TOP OF A FRACTIONS WITH ANYWHERE IN THE BOTTOMS OF A FRACTION.
3rd: Create a new fraction.
4th: Multiply the tops (numerators) and place the product in the top of the new fraction.
5th: Multiply the bottoms (denominators) and place the product in the bottom of the new fraction.
6th: Reduce the new fraction.
7th: Write as a mixed number if possible.
8th: Reduce the new fraction.



Division of Fractions

1st: Recopy the first fraction
2nd: Change the division sign to a multiplication sign.
3rd: Flip the second fraction.
4th: Multiply fractions using the rules above.
With Mixed Numbers
1st: Rewrite each mixed number as an improper fraction.
2nd: Change the division sign to a multiplication sign.
3rd: Flip the second fraction.
4th: Cancel ANYWHERE IN A TOP OF A FRACTIONS WITH ANYWHERE IN THE BOTTOMS OF A FRACTION.
5th: Create a new fraction.
6th: Multiply the tops (numerators) and place the product in the top of the new fraction.
7th: Multiply the bottoms (denominators) and place the product in the bottom of the new fraction.
8th: Reduce the new fraction.
9th: Write as a mixed number if possible.
10th: Reduce the new fraction.


Exponentiation of Fractions (Raising to a Power)

1st: Raise the top (numerator) to the power.
2nd: Raise the bottom (denominator) to the power.
3rd: Reduce the result.



Extraction of Fractions (Taking Roots)

1st: Reduce the fraction.
2nd: Rewrite the fraction so that instead of
one radical with a fraction inside, it is
one fraction with a radical on the top and a radical on the bottom.
3rd: Simplify each radical
4th: Reduce.



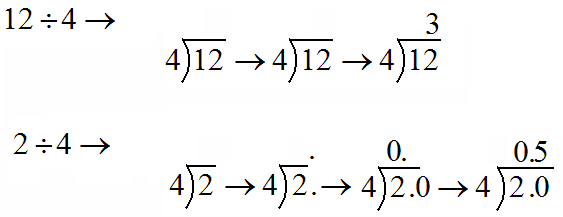
Change A Fraction to A Decimal

1st: Divide the first number (the numerator or top)
by the second number (the denominator or bottom) in the following way.
2nd: Write a division problem:
first number goes “inside” or “under” and the
second number goes “outside.”
3rd: If needed, put a decimal after the inside number.
4th: If the decimal is used in step 3, place a DECIMAL in the answer ABOVE the decimal under the division line.
5th: Divide. Multiply. Subtract. Bring Down. Repeat as needed.
6th: Continue generating digits until
you determine if the digits repeat or
to 1 place further than you need it rounded.




Change A Percent to A Decimal or Decimal to Percent

THINK OF THE WORDS “DECIMAL” AND “PERCENT” IN ALPHABETICAL ORDER.
MOVE THE DECIMAL TO THE OTHER WORD.

DECIMAL PERCENT
DECIMAL PERCENT
 
Change A Decimal to A Percent
1st: Move the decimal two places to the right.
2nd: Place a % sign on the far right.
Change A Percent to A Decimal
1st: Move the decimal two places to the left.
2nd: Remove the % sign.




Change a Decimal to A Fraction

Rationals (Fractions) – Read the number without the word “point.” Write the fraction.
Irrationals (Nonfractions) – Approximate with a fraction.

      Some decimal/fraction equivalents one should "just know."

      Decimals/fraction equivalents like .5 is 1/2 or that .75 is 3/4 or that .3333... is 1/3 or that .12112111211112... does not have an equivalent fraction are examples of what one is expected to know in most high school math classes. The procedures below may be used when these equivalents are not recognized by sight.

      Decimal numbers which repeat may be written as fractions -- they are rational. Decimal numbers which do not repeat can not be written as fractions -- they are irrational numbers.

      There are two kinds of repeating decimals: those which repeat from the decimal point (with the tenths-place) and those which do not begin to repeat in the tenths-place.

      Decimals like .5 and .25 look like they don't repeat, but, they do. They do not begin to repeat until "after" the tenths-place.

      The decimal .5 is also written as .50 or .500 or .5000 or .5000000..., the 0 is a single repeating digit. So, though .5 does not look like an infinite repeater, it does have an infinite number of decimal digits "on the right." The numbers .25, .168, 4.37905, and other decimal numbers which also look like they do not repeat also have an infinite number of 0 decimal digits "on the right."



Decimals Which "Do Not Repeat" (Have Repeating Zeros) -
1st: Determine the name of the last decimal place.
•••(hundreds)(tens)(ones)• (tenths)(hundredths)(thousandths)(ten-thousandths)(hundred-thousandths)•••
••• (100)(10)(1)•(1/10)(1/100)(1/1000)(1/10,000)(1/100,000)•••
2nd: Create a fraction with the place from step 1.
Use the place name as the denominator.
3rd: Remove the decimal from the expression and
write the remaining number in the top (numerator) of the fraction.
4th: Write as a mixed number as needed.
5th: Reduce if possible.




Decimals Which Repeat from the Decimal Point, In the Tenths-Place

1st: Count the number of digits in the pattern which repeats.
The number .3333... has 1 repeating digit.
The number .575757... has 2 repeating digits.
The number 4.127... has 3 repeating digits.
2nd: Use this number of 9s as digits in the denominator of the fraction.
A one-digit repeater has one 9, /9, ninths.
A two-digit repeater has two 9s, /99, ninety-ninths.
A three-digit repeater has three 9s, /999, nine-hundred-ninety-ninths.
3rd: Use the repeating digit(s) as the numerator.
4th: Use the required number of 9s as the denominator.
5th: Write as a mixed number as needed.
6th: Reduce if possible.




Decimals Which Repeat But Not from the Decimal Point, Not from the Tenths Place

1st: Determine the name of the last decimal place that does not contain a repeating digit.
•••(hundreds)(tens)(ones)• (tenths)(hundredths)(thousandths)(ten-thousandths)(hundred-thousandths)•••
••• (100)(10)(1)•(1/10)(1/100)(1/1000)(1/10,000)(1/100,000)•••
2nd: Create a fraction with the place from step 1.
Use the place name as the denominator.
3rd: Move the decimal from the expression
to the left of repeating digits and
write the remaining number,
INCLUDING THE REPEATING PART,
in the top (numerator) of the fraction.
4th: Rewrite the repeating decimal
from the numerator (top) of the fraction
so that the numerator is a mixed number.
  See above.
5th: Multiply the ENTIRE fraction by 1
in the form of
(numerator's denominator)/(numerator's denominator).
6th: Complete the arithmetic.
7th: Reduce if possible.



[MC,i. Home] [Words] Classes [this semester's schedule w/links] [Good Stuff -- free & valuable resources]
© 2008, Agnes Azzolino
www.mathnstuff.com/math/spoken/here/2class/70/frcompu.htm