IN MATH: 1. n. a product or quotient with one or more factors or divisors. EX. State the linear term in . 2. n. in computing interest, the number of years money is lent or borrowed. EX. If you borrow money for 18 months, the term is 1.5 years.

IN ENGLISH: 1.n. a word with special meaning in a given situations. EX. "The actor walked down right and bowed to the house" in lay terms means "the actor walked toward the audience and to his right and bowed." 2. n. a length of time. 3. in a contract or legal document, a stipulation. EX. The terms of the will stipulated that Jack had to spend all $1 million before the next full moon.

APPLICATION: See list 200.

1. Identify the linear term in .

2. Write a term meaning double a number.

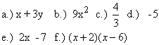
3. Select the expressions having exactly 1 term.

a.b. c.d. a.e. f.

This is a page from the dictionary MATH SPOKEN HERE!, published in 1995 by MATHEMATICAL CONCEPTS, inc., ISBN: 0-9623593-5-1. This 460-entry book sells for $12.00 US plus shipping and sales tax.

You are hereby granted permission to make ONE printed copy of this page and its picture(s) for your PERSONAL and not-for-profit use. YOU MAY NOT MAKE ANY ADDITIONAL COPIES OF THIS PAGE, ITS PICTURE(S), ITS SOUND CLIP(S), OR ITS ANIMATED GIFS WITHOUT PERMISSION FROM: request@mathnstuff.com or by mail to the address below.


[MCi logo]

MATHEMATICAL CONCEPTS, inc.

85 First Street, Keyport, NJ 07735-1503

callus@mathnstuff.com     (732) 739-3951


© 1999, http://www.mathnstuff.com/math/spoken/here/1words/t/t6.htm             Revised: 3/28/99

[MSH!
Home] [Transcription] [Table] [Words] [MC,i.
Home] [top] [end] [next] [last] [Order
form]