IN MATH: 1. adj. equations for coincident lines, equations which have all solutions in common. EX. Coincident lines have dependent equations.

IN ENGLISH: 1. n. for tax or legal purposes, one who is supported by another. EX. My son Michael is my only dependent.

APPLICATION: See list 310.

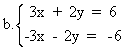
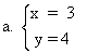
1. Check the dependent equations.

a) b) c) d)

This is a page from the dictionary MATH SPOKEN HERE!, published in 1995 by MATHEMATICAL CONCEPTS, inc., ISBN: 0-9623593-5-1.   You are hereby granted permission to make ONE printed copy of this page and its picture(s) for your PERSONAL and not-for-profit use.


[MC,i. Home] [Table] [Words] Classes [this semester's schedule w/links] [Good Stuff -- free & valuable resources] [next] [last]
© 2005, Agnes Azzolino
www.mathnstuff.com/math/spoken/here/1words/d/d14.htm