 |
MAT129 Fall 2025 Notes
mathnstuff.com/math/precalc/MAT129fa25/p.21.htm ©
11/24/2025
A2, Agnes Azzolino
Sum and Difference and Multiple-Angle Formulas, Text 9.2,9.3,9.4, PG. 706, 720, 732
|
 |
9.2 - Sum and Difference Identities, pg. 706, Learning Objectives
* Use sum and difference formulas for cosine.
* Use sum and difference formulas for sine.
* Use sum and difference formulas for tangent.
* Use sum and difference formulas for cofunctions.
* Use sum and difference formulas to verify identities.
9.3 - Double-Angle, Half-Angle, and Reduction Formulas, pg. 720, Learning Objectives
* Use double-angle formulas to find exact values.
* Use double-angle formulas to verify identities.
* Use reduction formulas to simplify an expression.
* Use half-angle formulas to find exact values.
9.4 - Sum-to-Product and Product-to-Sum Formulas, pg 732, Learning Objectives
* Express products as sums.
* Express sums as products.
- Proof of
sin(A + B), cos(A+B) -- the sine of the sum and cosine of the sum of two angles
-
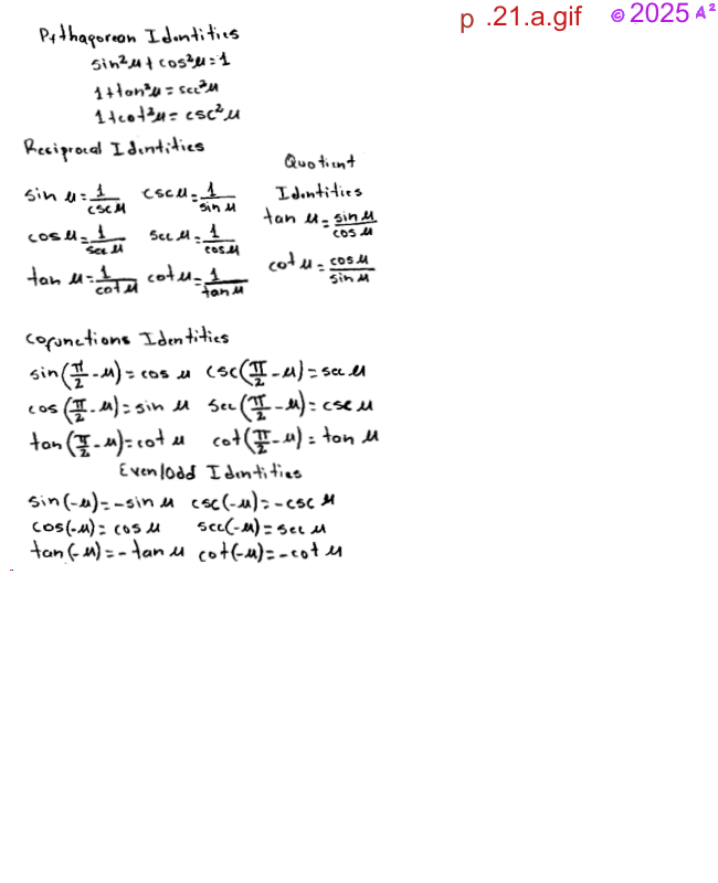
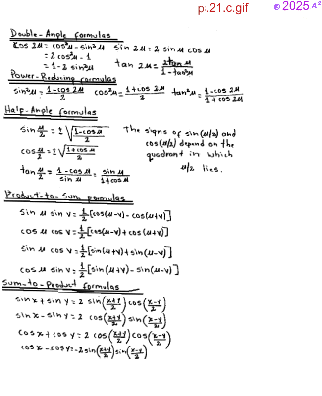
"cheat sheets"