MAT131 Fall 2025 Notes
mathnstuff.com/math/calc/MAT131fa25/c.16.htm
© 11/3/2025, A2, Agnes Azzolino
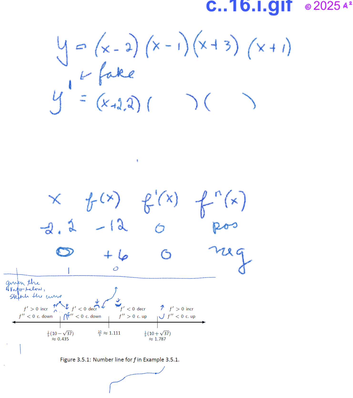
Curve Sketching (3.5, pg. 159)

"November 6:
Last day to withdraw from full term courses"

Can you earn the grade you need? Watch the video:
"It's The Last Day to Drop and I Don't Know What to Do Video."
or use the grade calculator on the Grading & Cheating page.
As of 6:07 AM 11/3/2025, every student will receive an A quiz grade.

Welcome to Calc I!

Required Sketching Skills
Hi,
   
    Contact me through the pink box on www.mathnstuff.com/math/math.htm
    Stay safe, A2
compositeFX.gsp -- precalc background
Derivatives Web Page -- calc resources
First & Second Derivative Tests gsp
Function Emojis web page - examples, problems w/answers
DerAnyFx.gsp
1 - fx w/tangent line & tan line equation
2 - sqrt(x) & TRACE
3 - sqrt(x), tan, TRACE f '(x)
4 - EMOJI, x, fx, f'x f''x, tan line
5 - table, x, fx, f'x, f''x
emoji.gsp
0 - toc - Links to: dictionary, algebra notes, precalc notes, calc 1 notes
1 - f' by tangent, x, fx, f'x, f''x
2 - trig f' by tangent, x, fx, f'x, f''x
3 - polynomial
4 - rational
Derivative Calculator
  https://www.derivative-calculator.net/