MAT131 Fall 2025 Notes
mathnstuff.com/math/calc/MAT131fa25/c.12.htm
© 10/17/2025, A2, Agnes Azzolino
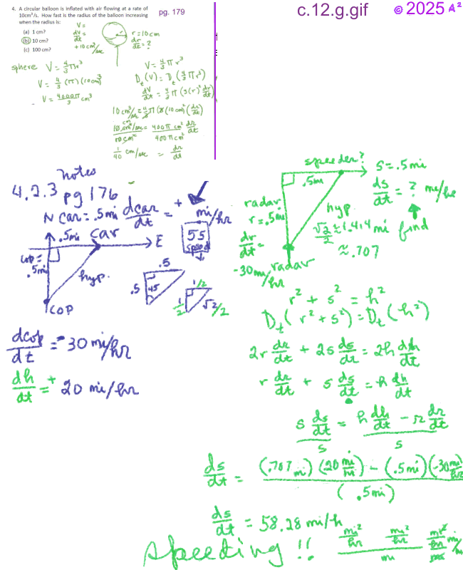
Related Rates (4.2, pg. 174) & Related Rates Web Page

Welcome to Calc I!

Advance from Snapshots to Movies
    -- A Constant May Become A Variable That Is A Functions of Time
Hi,
    In high school, most math problems were like a snapshot and involved
things which stayed the same throughout the problem. Think of circles (with radius,
diameter, π) or right triangles (with legs, hypotenuse).
    With calculus, math problems are like a movie and though the relationships
between things remain related, their values may change.
    With the power of implicit differentiation, situations in which a set
or collection of things -- constants, functions -- that relate to each other may
be considered as changeable. A change in one thing, changes the other things
or some of the other things.
    Implicit functions, movies, situations which change is the topic today.
    Contact me through the pink box on www.mathnstuff.com/math/math.htm
 
    Stay safe, A2
The volume of a cylinder
V = πr²(h)


radius:   units
height:   units



= cubic units
The rate of change of volume of a cylinder
V = πr²(h)
dV/dt = π[2r(dr/dt)h + r²(dh/dt)]
 
radius:   at the given time
height:   at the given time
dr/dt:   units per unit time
dh/dt:   units per unit time
 
= cubic units
= cubic units per unit time



  Related Rates Web Page