MAT129 Fall 2025 Notes
mathnstuff.com/math/calc/MAT129fa25/p.23.htm
© 2025   A2, Agnes Azzolino
Trig Review & Connect the Dots

Welcome to Calc I!

Last Day of New Material!!!!
Hi,
    The end of the course approaches!
	W12/3, Th12/4 - TEST 4 in class
	M12/8, T12/9 - Grades & SUMMARY PRESENTATIONS
	W12/10, Th12/11 - EXAM in class
		You must REQUEST an exam 
		Wednesday Exam: between noon on 12/8 and noon on 12/9 or 
		Thursday Exam: between noon on 12/9 and noon 12/10 
    Contact me through the pink box on www.mathnstuff.com/math/math.htm
    Stay safe, A2
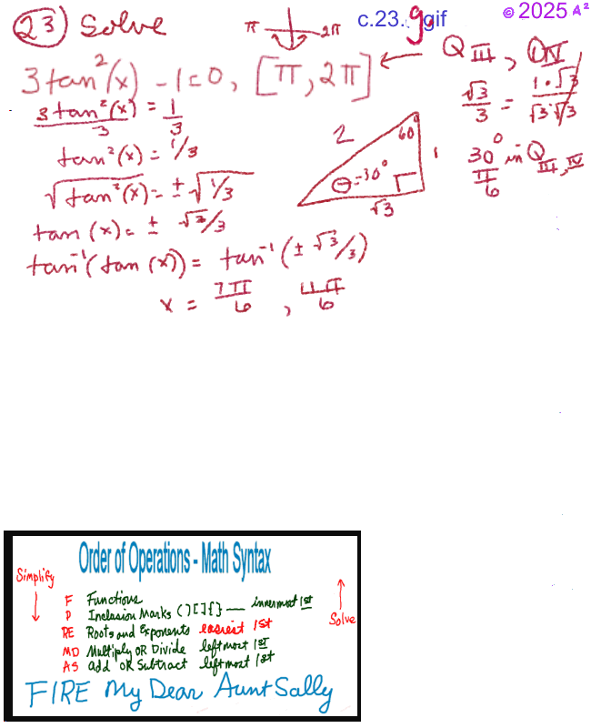
28. gif of answers to use arcfx to solve triangles 27 con-dots
29.-30.-31. 1-page pdf of 2 hour Trig "review" con-dots
32. 2-page pdf of 2 hour Trig "review" con-dots
29. 1-page gif of 2 hour Trig "review" con-dots
29. gif of 2 hour Trig "review" con-dots
30. gif of questions on the 2 hour Trig "review" con-dots
31. gif of array of answers dots on the Trig "review" con-dots
32. gif of connected answer dots on the Trig "review"
33. gif of first column text of answer on the Trig "review"
34. gif of second column text of answer on the "review"