MAT129 Fall 2025 Notes
mathnstuff.com/math/precalc/MAT129fa25/p.19.htm
© 2025   A2, Agnes Azzolino
Using and Verifying Trigonometric Identities, Text 9.1, PG. 696

Welcome to Precalc !

Identities, True Statements
Hi,
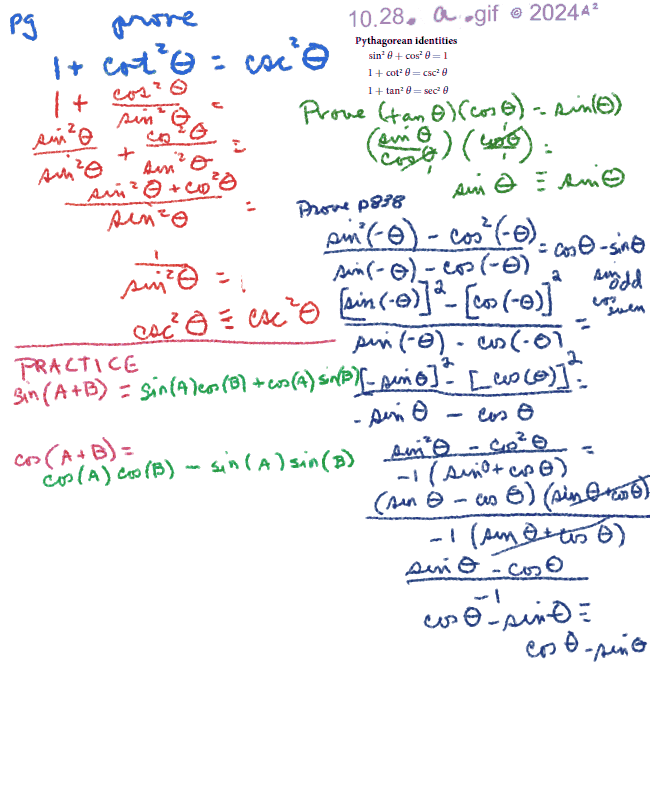
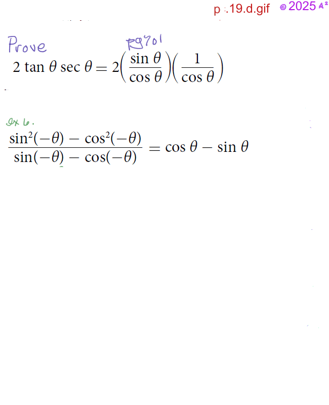
    Statements which have been proved true, by the use of other true statements, for all numbers are called identities.
    The image at the left illustrates the identities you are required to know this semester.
    Contact me through the pink box on www.mathnstuff.com/math/math.htm
or with the phone number on your class CANVAS home page.
    Stay safe, A2

CHANGE OF PLANS!
* The Zoom class is cancelled!
There is a VIDEO linked here to watch instead of the zoom class.

The video is not loading. Class is cancelled.
No Quiz this weekend.

9.1 - pg 696, Learning Objectives
* Verify the fundamental trigonometric identities.
Fundamental Identities
Oscar, Unit Circle on p.19.n.gif
Cofunction identities
The function of an angle is equal to the cofunction of its complement.
complement on p.19.m.gif
complement, supplement gsp   -- just complementary & supplementary angles
Even-odd Identities
picture the graphs of the functions on p.19.o.gif
sine and tangent are odd so: f(-x) = - f(x)
cosine is even so: f(-x) = f(x)
Reciprocal Identities p.19.p.gif
Quotient Identities
tan(A) = sin(A) / cos(A)
cot(A) = cos(A) / sin(A)
oscar
similar figures
Pythagorean Identities Pythagorean Trig Identities
sine-cosine, sin2(A) + cos2(A) = 1     pyth1.gif
tangent-secant, tan2(A) + 1 = sec2(A)     pyth2.gif
cotangent-cosecant, cot2(A) + 1 = csc2(A)     pyth3.gif
Unit Circle and Identities
unitSinCosTriangle gsp   -- sine & cosine functions with a unit circle
unitTanSec gsp   -- tangent & secant functions with a unit circle
unitCotCsc gsp   -- cotangent & cosecant functions with a unit circle
unitfx gsp   -- 6 functions with a unit circle
Pythagorean gsp   -- using only figure to adjust angle
PythagorIdentities gsp   -- using either figure or parameter theta to adjust angle
 
More to Come on Another Day
Cheat Sheets of Trig Identities
Sheet 1 - Pythagorean Identities, Cofunctions, Odd/Even Functions
Sheet 2 - Sine, Cosine, & Tangent of the Sums & Differences
Sheet 3 - Double & Half Angle Formulas
Trig Stuff - Veronica's Bow Tie & All Students Take Calculus
 
Sum and Difference Identities
Proof of sin(A + B), cos(A+B) -- the sine of the sum and cosine of the sum of two angles
Double-Angle Formulas
Half-Angle formulas
Reduction Formulas
Product-to-Sum Formulas
Sum-to-Product Formulas
 
* Simplify trigonometric expressions using algebra and the identities. opposites, reciprocals, inverses