MAT129 Fall 2025 Notes
mathnstuff.com/math/precalc/MAT129fa25/p.15.htm
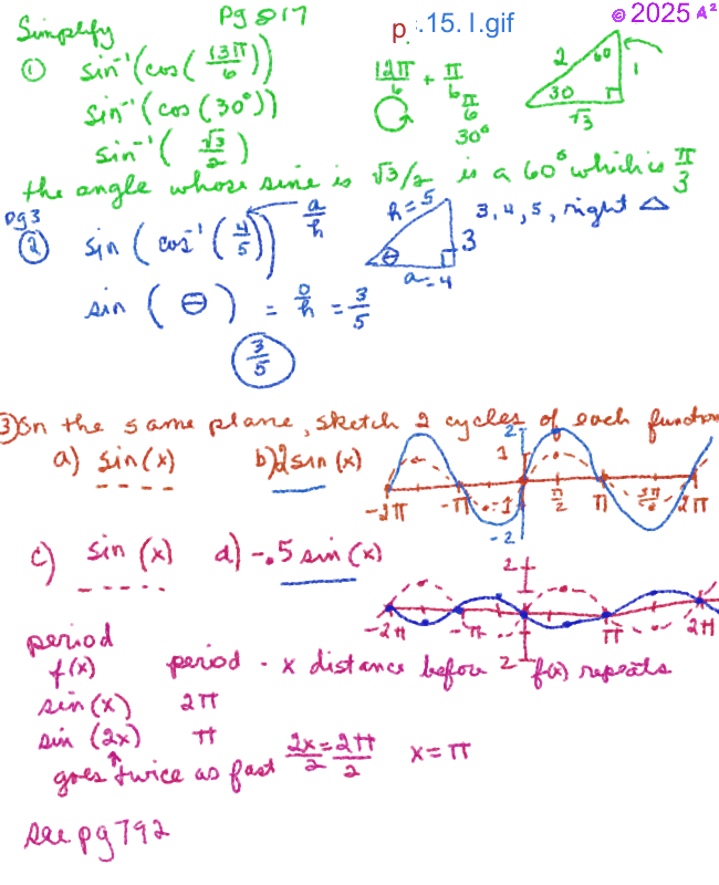
© 10/29/2025   A2, Agnes Azzolino
Trigonometric Functions of any angle & THEIR GRAPHS, Text 7.3, PG. 604

Welcome to Precalc!

Review Lessan 14 & Continue
Hi,
    Trig functions of all angles requires completion of the work started in Lesson 14. This is REALLY important stuff.
    Contact me through the pink box on www.mathnstuff.com/math/math.htm
or with the phone number on your class CANVAS home page.
    Stay safe, A2



7.3 - pg 604, Learning Objectives
* Find function values for the sine and cosine of 30° (pi/6), 45° (pi/4), and 60° (pi/3).
* Identify the domain and range of sine and cosine functions.
* Find reference angles.
* Use reference angles to evaluate trigonometric functions.
 
Three Trig Planes Graph Paper
3 trig planes w/table also p.14.b.gif
functions of the quadrantals
1 black tiny trig plane
1 tiny trig plane w/o y-scale
tiny aligned sine, cosine, tangent planes
  Input an angle A in degrees in the yellow box, then press each button to compute angle A in radians, its sine, cosine, and tangent.
  A is °
 

  is rad

  is

  is

  is
  Input an angle B in radians in the yellow box, then press each button to compute angle B in degrees, its sine, cosine, and tangent.
  B is radians;
 

  is °

  is

  is

  is

The reader
must round
each result.