MAT129 Fall 2025 Notes
mathnstuff.com/math/precalc/MAT129fa25/p.13.htm
© 2025   A2, Agnes Azzolino
7.2, Right Triangle Trigonometry, pg. 593

Welcome to Precalc!

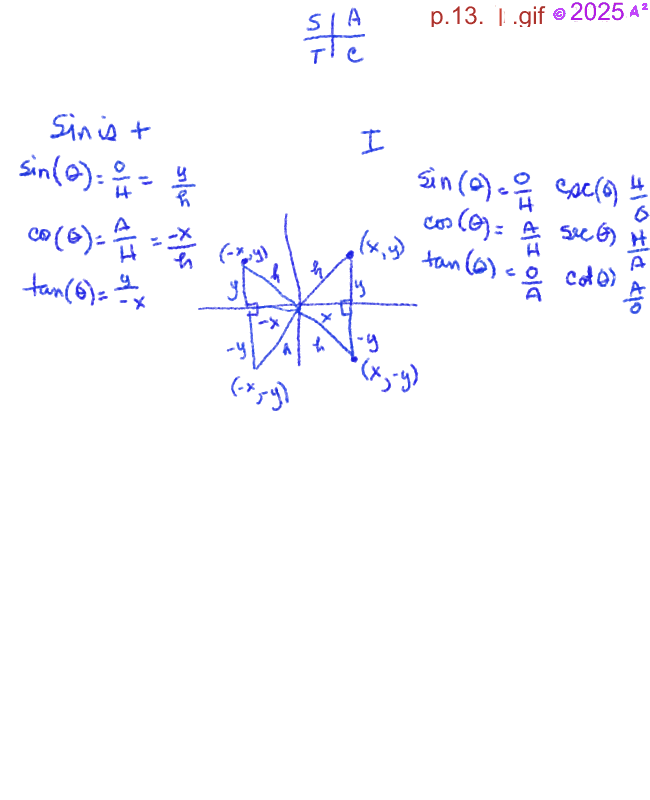
Remember Oscar Had A Heap Of Apples" or
"SohCahToa" ?
Hi,
    See below.
    Contact me through the pink box on www.mathnstuff.com/math/math.htm
or with the phone number on your class CANVAS home page.
    Stay safe, A2
7.2  - pg 593,  Learning Objectives
	* Use right triangles to evaluate trigonometric functions.
	* Find function values for 30° (pi/6), 45°(pi/4), and 60°(pi/3).
	* Use equal cofunctions of complementary angles.
	* Use the definitions of trigonometric functions of any angle.
	* Use right-triangle trigonometry to solve applied problems.
Notes:	
	p.13.a.gif,  blank trig functions of he 30s,45s,  60s
	p.13.g.gif,  answers trig functions of he 30s,45s,  60s
	p.13.b.gif,  OSCAR connect the dots
	 p.13.c.gif,  angle &  side connect the dots
	 p.13.d.gif, trig function definitions
	 p.13.e.gif, special angles, similar  figure computation
	 p.13.f.gif, blank trig functions of he 30s,45s,  60s (duplicate)
	 p.13.g.gif, trig functions of he 30s,45s,  60s ANSWERS