MAT131 Fall 2025 Notes
mathnstuff.com/math/calc/MAT131fa25/c.4.htm
© 6/20/2025, A2, Agnes Azzolino
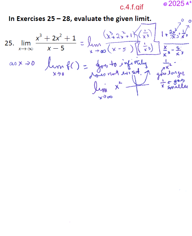
Limits Involving Infinity (1.6)

Welcome to Calc I!

Hi,
   
   
 
   
 
   
 
    Contact me through the pink box on
        www.mathnstuff.com/math/math.htm
 
    Stay safe, A2

Jan 29, 30: Limits Involving Infinity (1.6, pg. 46) & #1, Limits connect-the-dots
composition gsp
 
end behavior web page
 
How to Graph a Function
 
polynomial, rational functions pdf
 
limit.gsp.
      use time 1:04:30 into this video
 
Use a TI calculator or Geometer's Sketchpad (both are free and info is linked here to compute a limit numerically or analytically.